| download | how to install | quick start | how to use | some numerical experiments | online demo |
k-LinReg is an open source software dedicated to switched linear regression with large data sets. It is based on the simple k-means like algorithm described in
F. Lauer, Estimating the probability of success of a simple algorithm for switched linear regression, Nonlinear Analysis: Hybrid Systems, 8:31-47, 2013,
and provides the following features:
Applications of this software include:
There are 2 implementations of k-LinReg: one in C and one in Matlab.
NEW: the MLweb project includes a javascript implementation of K-LinReg (and an online demo).
C version: klinreg.tar.gz (source code) |
Matlab version: klinreg_matlab.zip |
|
|
This software is freely available for non-commercial use under the terms of the GPL. Please use the following reference when citing the software:
@article{Lauer13klinreg,
author = {F. Lauer},
title = {Estimating the probability of success of a simple algorithm for switched linear regression},
journal = {Nonlinear Analysis: Hybrid Systems},
volume = {8},
pages = {31-47},
year = {2013},
note = {\url{http://www.loria.fr/~lauer/klinreg/}}
}
C version |
Matlab version |
|
1) Make sure the following packages are installed on your system: lapack gfortranOn a Debian-based system you can install them by running: sudo apt-get install liblapack-dev (note that different choices exist here) sudo apt-get install gfortran2) Uncompress the archive file: tar -zxvf klinreg.tar.gz3) Build the software: cd klinreg make4) Run ./klinregto check that the build was successful. |
1) Uncompress the archive file:
unzip klinreg_matlab.zip2) Add the directory klinreg_matlab to Matlab's PATH 3) Type help klinregto check the installation. |
C version |
Matlab version |
|
1) Create a random data set with 1000 points in dimension 1: ./gendata data.dat 1000 2 12) Train a model with 2 modes on this data set: ./klinreg data.dat 23) Plot the results (this requires the gnuplot software): ./plot data.dat out.pred 2 gnuplot gnuplot> load 'plotscript' See the README file for more details and examples. |
1) Create a random data set with 1000 points in dimension 1: X = 10 * rand(1000,1) - 5; Y(1:500,1) = X(1:500) * (3*rand(1,1) - 1.5) + randn(500,1); Y(501:1000,1) = X(501:1000) * (3*rand(1,1) - 1.5) + randn(500,1);2) Train a model with 2 modes on this data set: [w,lambda] = klinreg(X,Y,2);3) Plot the results: plot(X(lambda==1),Y(lambda==1),'.b'); hold on; plot(X(lambda==2),Y(lambda==2),'.r'); plot(X,X*w(1),'-b'); plot(X,X*w(2),'-r'); Type help klinreg for more details. |
Usage:
klinreg datafile number_of_modes [options]
Options:
-p : probability of failure
which automatically defines the number of restarts
(default is 0.001)
-d : alternate model of the probability of success for dynamical systems
-o : base name of output files .model and .pred
(default is 'out', which creates 'out.model' and 'out.pred')
-v : sets the verbose level from -1 to 2 (default is 1)
Stopping criteria:
-r, -R : max number of restarts / random initializations
(automatically determined by default)
-e, -E : tolerance on model mean squared error (MSE) (default is 0.0)
-a, -A : tolerance on model mean absolute error (default is none)
-b, -B : bound on model absolute error (inf-norm) (default is none)
-t, -T : time limit in seconds (default is none)
Multiple criteria can be used:
- lowercase options allow the algorithm to stop
as soon as the given number is reached;
- UPPERCASE options force the algorithm to reach
the given number before it terminates.
The algorithm can be stopped at any time by 'Ctrl-C' (or the SIGINT signal).
See the README file for more info and examples.
Simple usage: [w, lambda, fbest] = klinreg(X,Y,n,dynamic) Inputs: X : N x p matrix of N regression vectors in R^p as rows Y : N x 1 vector of target outputs n : number of modes dynamic : If not 0, then use alternate model of the probability of success when computing the number of restarts (default is 0 for switched regression, set it to 1 for dynamical system identification) Outputs: w : p x n matrix of estimated parameter vectors w_j as columns lambda : N x 1 vector of estimated modes (labels) fbest : best cost function value obtained with w With more options: [w, lambda, fbest, r_opt, cost, W, Winit] = klinreg(X,Y,n,dynamic,Pf,wmax) Additional inputs: Pf : Probability of failure (default is 0.001) wmax : bound on the initializations: w0(k) is in [-wmax, +wmax] (default is 100) Additional outputs: r_opt : number of restarts used by klinreg_simple cost : r_opt x 1 vector of cost function values for all restarts W : (r_opt x p) x n matrix of all estimated parameter vectors Winit : (r_opt x p) x n matrix of all initializations
The figures below show the normalized mean squared error on the parameters (NMSE) and the average computing time (in seconds) of the methods with respect to the number of data N. These times are obtained with Matlab implementations of all methods running on a standard laptop.

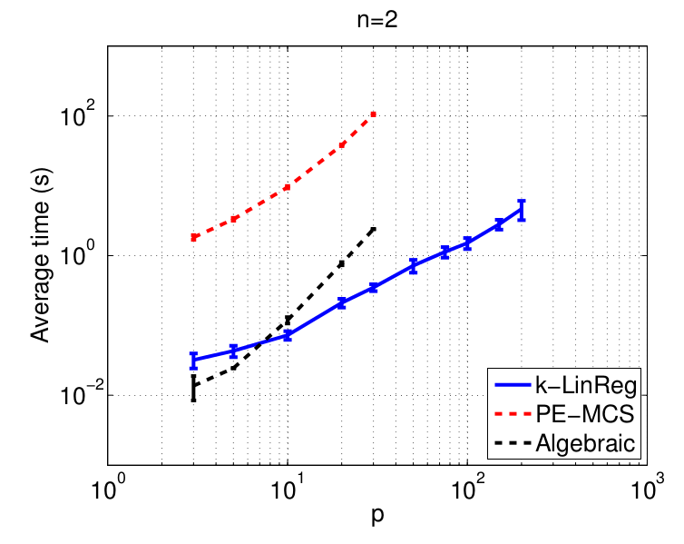
The figures below show the average computing time of the methods with respect to the dimension p and for different numbers of modes n. The last one at the bottom right hand corner is plotted with respect to n for p = 10.


These experiments aim at testing the ability of k-LinReg to find the global optimum over 100 trials. With noiseless data, the optimum is 0 and global optimality can be easily checked by setting 'MSE < 1e-6' as a stopping criterion.
test_global 1000 2 50 Expe = 1 / 100... r=1, t=0.3614 Expe = 2 / 100... r=1, t=0.2771 ... Expe = 100 / 100... r=1, t=0.2320 ************************ N = 1000, n = 2, p = 50 -> tau = 333 -> time = 0.0723 +- 0.0985 (tmax = 0.4954) -> r = 1 +- 1 ( rmax = 3 ) ************************The results show the number of restarts r and computing time required on average to reach the global optimum.
This example is taken from
R. Vidal, Recursive identification of switched ARX systems, Automatica 44(9):2274-2287, 2008,
and considers a system with n = 2 modes, a regression vector in dimension p = 2, and N = 1000 data points.
The figures show the influence of the noise standard deviation on the parametric error (NMSE) and the percentage of failures of the algorithms. The results of k-LinReg are obtained with a single restart (r = 1).

This example is taken from
L. Bako, Identification of switched linear systems via sparse optimization, Automatica 47(4):668-677, 2011,
and considers a system with n = 4 modes, a regression vector in dimension p = 4, and N = 300 data points.
The table shows the average parameter estimates over 100 trials with different noise sequences. The automatically tuned k-LinReg algorithm use r^* = 3 restarts and shows a performance comparable to the one of the sparse optimiztion method of Bako. However, the number of restarts needs to be slightly increased to r = 5 to cancel the difference between the k-LinReg average estimates and the ones of the reference model.